|
Гармонические числа и … игральные карты.В статье [1] речь шла о так называемых
“гармонических числах” (напомним, что
гармоническим числом называют сумму Отмечалось, что такая сумма так часто встречается в анализе алгоритмов, что специалистам понадобилось для нее специальное обозначение — Нn. Буква Н в этом обозначении происходит от слова “harmonic”, так что Нn — это гармоническое число. Оно названо так потому, что k-я гармоника, извлекаемая из скрипичной струны, — это основной тон, производимый струной, длина которой равна 1/k от длины основной струны [2]. Вот один карточный фокус, который демонстрирует, насколько “гармонично” возникают гармонические числа уже в простых ситуациях. Положив на стол n карт и сдвигая их относительно друг друга, нам хотелось бы образовать как можно больший выступ над краем стола с учетом действия силы тяжести (см. рис. 1).
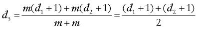
Для большей определенности задачи потребуем, чтобы края карт были параллельны краю стола, — в противном случае величину выступа можно было бы увеличить, разворачивая карты так, чтобы их уголки выступали немного дальше. А для того чтобы упростить ответ, предположим, что длина каждой карты равна 2 единицам. Для одной карты максимальная величина выступа получается тогда, когда ее центр тяжести находится ровно над краем стола (будем считать, что в этом случае равновесие будет устойчивое). А поскольку центр тяжести находится в центре карты, то мы можем образовать выступ длиной в половину карты, т.е. длиной в 1 единицу. Для двух карт нетрудно убедиться, что максимальная величина выступа получается тогда, когда центр тяжести верхней карты находится ровно над краем второй карты, а общий центр тяжести обеих карт — ровно над краем стола. А поскольку общий центр тяжести двух карт будет находиться посередине их совмещенных частей, то мы в состоянии увеличить величину выступа еще на пол-единицы. Подобные обстоятельства подсказывают общий метод, в соответствии с которым карты помещаются так, чтобы центр тяжести k верхних карт находился ровно над краем (k + 1)-й карты (которая положена под эти k верхних карт). Стол же играет роль n + 1-й карты. Для того чтобы выразить это условие алгебраически, можно обозначить через dk расстояние от выступающего края самой верхней карты до соответствующего края k-й сверху карты (см. рис. 1). Надо также вспомнить уроки физики. Из них читателю, очевидно, известно, что центр тяжести k предметов, которые имеют веса w1, w2, …, wk и центры тяжести которых находятся соответственно в точках p1, p2, …, pk (см. рис. 2), расположен в точке p = (w1p1 + w2p2 + … + wkpk)/(w1 + w2 + … + wk). Это означает, что для двух карт можем записать:
Заметим, что d1 = 0. В общем случае нужно положить dk + 1 равным центру тяжести k первых карт:
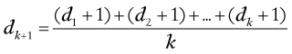
А эту рекуррентную зависимость1 можно переписать в двух эквивалентных формах:
Вычитание одного уравнения из другого показывает, что
следовательно, dk + 1 = dk + 1/k. Это означает, что вторая карта будет сдвинута на половину единицы длины относительно третьей карты, которая сдвинута на треть единицы длины относительно четвертой карты, и т.д. Отсюда по индукции вытекает общая формула
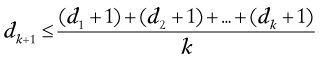
А если положить k = n, то получим dn + 1 = Нn — т.е. полная величина выступа, когда n карт уложены так, как описано выше, равна гармоническому числу “степени” n. Интересный вопрос — а нельзя ли получить боўльшую величину выступа, воздерживаясь вначале от сдвига каждой карты на предельно возможное расстояние и накапливая “потенциальную энергию силы тяжести” для решающего сдвига? Нет, нельзя: всякое устойчивое расположение карт должно удовлетворять неравенству:
К тому же d1 = 0. Отсюда по индукции следует, что dk+1≤Hk. Задания для самостоятельной работы 1. Определите, каким будет выступ в случае использования колоды из: — 52 карт; — миллиона карт (если допустить, что такое количество карт можно разместить, соблюдая рассмотренную закономерность). Программу для расчета значения гармонических чисел разработайте самостоятельно (или см. [1]). 2. Установите, при каком минимальном числе карт величина выступа будет превышать длину одной карты, которая равна двум единицам. Ответы (можно на отдельные задания) присылайте в редакцию. Лучшие ответы мы поощрим. Литература 1. Гармонические числа. / “В мир информатики” № 96 (“Информатика” № 20/2007). 2. Грэхем Р., Кнут Д., Паташник О. Конкретная математика. М.: Мир, 1998. |
при целом n ≥ 1). 


при 1≤k≤n.
при 1≤k≤n.